即時港聞
港鐵辦德福廣場45周年派對 展示當年手寫新聞稿 (20:49)

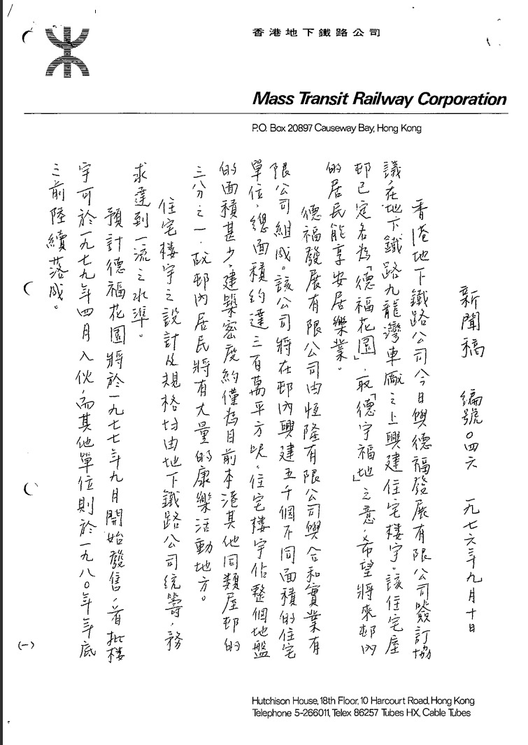
德福廣場是港鐵首個「鐵路加物業」發展項目,今年迎來45周年, 港鐵今日(18日)舉辦慶祝派對,活動期間展示多幅歷史圖片,包括一份於1976年發布的手寫新聞稿,記載了「德福花園」名字的由來,結合「德宇」與「福地」之意,希望居民能在此安居樂業。
港鐵今日展示的歷史圖片中,除了手寫新聞稿,亦包括一張攝於1981年、記載德福花園第二及第三期平頂儀式的照片,當時時任地鐵公司主席唐信、恒隆發展有限公司主席陳曾熙、以及合和實業有限公司主席胡忠共同主持儀式。事隔近半世紀,港鐵今日邀請兩大發展商的現任掌舵人,合和實業主席胡應湘及恒隆集團董事長陳文博重臨舊地,再到德福花園,並與港鐵主席歐陽伯權合照留念。
港鐵主席歐陽伯權致辭時表示,德福是全港首個以「鐵路加物業」模式發展的社區,見證九龍灣由工業區蛻變為集住宅、商業及消閒於一身的綜合社區,推動九龍東經濟起飛。為鐵路建設與營運提供了可持續的方程式,亦奠定港鐵建設社區的角色。他指,港鐵將繼續以熱誠、高效與創意,推動城市前行。
繼續閱讀
